特殊関数 グラフィックスライブラリー
Graphics Library of Special functions
http://math-functions-1.watson.jp
Home Menu
独自研究
「当て推量数学」 で探索する 「新しい特殊関数」。
楕円 Fibonacci 関数
(2013年9月17日 掲載記事)Fibonacci 数
で定義される数列で、数学のみならず、自然界の様々な事象に広く見られる。
この数列に対して、
を定義できることが既に知られており、関数等式
を満たす。なお参考までに、実変数および複素変数の Fibonacci 関数のグラフは次のとおり。
以下では、これを楕円関数化することを考えた。
楕円 Fibonacci 関数
実数方向では Fibonacci 関数の関数等式を満たし、同時に、虚数方向でも類似する関数等式を満たすような関数をで定義し、これを「楕円 Fibonacci 関数」と呼ぶこととした。
楕円 Fibonacci 関数は、次の関数等式や性質を満たす。
次のグラフからも分かるように、楕円 Fibonacci 関数は実軸に対して鏡映対称とならない。このため、非整数の実数上で楕円 Fibonacci 関数は一般に複素数値となる。
実変数の楕円 Fibonacci 関数
楕円 Fibonacci 関数は、次のように一般化できる。
一般化楕円 Fibonacci 関数は、次の関数等式や性質を満たす。
特に、
実変数の楕円 Lucas 関数
虚数方向に周期的な Fibonacci 関数
前の結果を応用して、実数方向では Fibonacci 関数の関数等式を満たし、同時に、虚数方向では周期関数となる「周期的 Fibonacci 関数」が定義できる。
周期的 Fibonacci 関数は、次の関数等式や性質を満たす。
次のグラフからも分かるように、周期的 Fibonacci 関数は実軸に対して鏡映対称となる。このため、実軸上で周期的 Fibonacci 関数は常に実数値となる。
実変数の周期的 Fibonacci 関数
(
未知の Lambert 級数
Lambert 級数はq-級数の一種と見ることができ、保型関数論や数論との繋がりもある。Lambert 級数の母関数は、で表わされる。特に、
となることが知られている。ここに、
以下では、上記と異なる係数の Lambert 級数や、Lambert 級数そのものの拡張について考える。
他の数論的関数が係数の場合
前述とは異なる数論的関数を係数とする Lambert 級数として、を考える。ここに、
各関数の複素変数でのグラフ。順に、①
グラフから推測すれば、①,③,④は互いに似ており、重み2の Eisenstein 級数との類似を感じさせる。②は重み6の Eisenstein 級数と類似している。⑤は何となく初等関数に還元できそうな気がする。⑥は尖点形式 (モジュラー判別式) に似ている。
(2021年9月12日 追加記事)
次のとおり⑤は、ポリ対数関数を変数
なお、このポリ対数(導)関数の極限は単位円の外部でも存在する。グラフで確認すると、次のようになっている。
「Mandelbrot - Lambert 級数」
Lambert 級数の各項Mandelbrot 集合の反復力学系関数を
で定義する (
このとき、
これらの結果は、あたかも Lambert 級数の「Mandelbrot 集合版」のようになっている。そこで、次の関数を考える。
各関数の複素変数でのグラフ。順に、①
素数正弦関数・素数ガンマ関数
古い (恐らく1990年代前半の) ノートを見ていて、当時から下記の独自関数を考えていた事を思い出しました。再度検証してみたところ新たな結果も得られたので、今回ここで取り上げることにしました。(いずれも、やや自明な結果かもしれない。)素数正弦関数
正負の素数に1位の零点を持つ超越整関数を、素数正弦関数と呼ぶことにする。その対数微分は、素数ゼータ関数

となる。
素数正弦関数と正弦関数の商


素数正弦関数のグラフは次のようになる。
素数ガンマ関数
負の素数に1位の極を持ち、零点を持たない有理型関数を、素数ガンマ関数と呼ぶことにする。ここに、
素数ガンマ関数の対数微分は、素数ゼータ関数
と表わされる。よって、素数ガンマ関数の逆数の冪級数展開式は
となる。
また、素数ガンマ関数の対数微分の冪級数展開式、および Meissel - Mertens 定数の定義式から

素数ガンマ関数は、素数正弦関数と

素数ガンマ関数のグラフは次のようになる。
非 Bohr - Mollerup 型ガンマ関数
このとき、関数
となり、階乗の "擬似的な" 連続化に相当する。
しかし、実変数のグラフは周期関数の影響から振動し、正の定義域で一般に単調増加にならない。この結果は、「1より大きい階乗 (の連続化) は単調増加になるはずだ」 という私達の理性にも反している。
周期関数因子が三角関数の例
この関数の実変数グラフ、および複素変数グラフ (アニメーション:6.27MB)周期関数因子が楕円関数の例
この関数の実変数グラフ、および複素変数グラフ (アニメーション:7.82MB)真性特異点を持つ二重周期関数
(2017年11月11日 掲載記事)Weierstrass の楕円関数およびその導関数の部分分数展開式を、次のように変形した関数を定義する。ただし、周期を
関数
複素変数の
複素変数の
ここに、Laurent 級数展開の係数は、
である。特に、
を、逆数変数の三角関数級数で表わすと、
となる。(私はこれらを用いた楕円モジュラー関数の類似をいくつか試みたが、特筆するような結果は得られなかった。)
複素変数の ①
さらに、部分分数展開式を Jacobi の楕円関数によって変形した関数
を定義する。関数
複素変数の
複素変数の
(
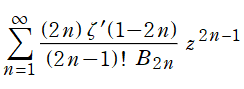
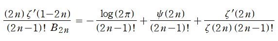
von Mangoldt 指数級数の漸近公式
(2018年06月23日 掲載記事)英語版 Wikipedia の Von Mangoldt function を見ると、「Exponential series」 という項目があり、関数

今回、この関数を非常に少ない項数で近似できる漸近公式が得られた (2018年6月) ので、ここでその概要を示すことにする。因みに、(管理人の力量不足もあって) これに辿り着くまで5~6年間は様々な方法を試行錯誤したように記憶している。
(実は、この方法を思い付いた直後、念のため G. H. Hardy & J. E. Littlewood の原論文 「Contributions to the Theory of the Riemann Zeta-Function and the Theory of the Distribution of Primes, Acta Mathematica. 41, p.119–196」 を確認したところ、ほとんど同じ方法による考察が既にあることが分かった。ただし、

【漸近公式を求める方法】
この方法の要点は、逆 Mellin 変換と留数定理を用いることであるが、複素関数論では割合よく見られる方法なので、以降ではその道筋だけを簡単に示す。
まず、定義式から逆 Mellin 変換式までの導出手順をまとめて記すと、
となる。この逆 Mellin 変換式の積分経路は、被積分関数
のすべての極を左側に見ながら (正の向きに) 囲う留数定理にもなっている。(次の図を参照。本来は、まず有界で閉じた矩形の積分経路を設定し、次に矩形の辺の長さを無限大にする極限を取らなければならない。)
Riemann ゼータ関数の非自明零点を
となる。したがって、留数定理から
を得る。分子に Bernoulli 数がある級数の収束半径は有界であるが、幸いこの級数部分は
と解釈できるので分離し、さらに、Riemann 予想が正しいと仮定して
が得られる。
【原点近傍での漸近近似式】
が得られる。次のコードは、絶対値が小さい最初の3個まで非自明零点を加算するとした漸近近似式による。
Wikipedia にあるものと同じ範囲でグラフを描画する。(たった0.873秒で計算できることに注目して下さい。)
直前のグラフと Wikipedia のグラフとを (一方の画像を半透明にして) 重ねてみる。→ 一致している。
先の More detailes では、「0に近付くにつれて振動が増大するが、-0.337877の切片を持つ直線のように見える」 との記述もある。この事は、漸近近似式をさらに定数項と1次の項のみに簡略化すると、一層明らかになる。前とは異なる描画範囲のグラフでそれを確認する。
実際、この1次関数の定数項は
【漸近公式の改良 & 複素領域での様子】(2025年03月25日 改訂掲載記事)
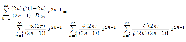
漸近公式に現れる、奇数次の無限級数部分
は、若干収束が遅い。そこで、これを偶数次の無限級数部分と統合し、簡略化を図る。
ゼータ関数およびゼータ導関数の整数点での特殊値の関係式から、
となるので、
が得られる。さらに、
となるが、このうち2番目の式は、NISTの公式 6.6.3,6.5.3,および 6.5.4 から導ける。したがって
が得られ、二つの無限級数は統合および簡略化される。なお、統合後に現れた無限級数は収束が速い。
よって上記の式を用いれば、von Mangoldt 指数級数
改良前後の漸近公式をそれぞれコード化し、計算結果を比較する。漸近公式の暫定的なコマンド名を、改良前は MangoldtExpSeries1, 改良後は MangoldtExpSeries2 とする。両者とも、加算する非自明零点の項数を第2引数で指定可能 (ただし上限を20000項、省略した場合1000項) とし、一部の検証目的に鑑みてコードは周期性を考慮しない。また、定義式で記述した比較用コードのコマンド名を MangoldtExpSeriesDef とする。
(分量の理由から、以降では多くのコード掲載を省略します。詳細は Mathematica Code の頁にあるファイルを参照願います。)
(なお、定義式は
複素変数グラフで半周期区間
漸近公式は、引数の偏角が虚軸に近付くほど収束が遅くなり、虚軸上で発散する (ただし、虚軸は von Mangoldt 指数級数の自然境界と思われる)。原因は、非自明零点に由来する級数部分にあって、偏角が実軸から離れると三角関数は指数関数的に増大し、次第にガンマ関数が0に近付く速さと拮抗し始めることによる。
次のグラフは、引数の偏角が虚軸に近付くほど、非自明零点の加算項数が必要になることを示したものである (改良後の漸近公式と定義式との誤差を、その絶対値の大きさで色分けする)。
領域によって式および加算項数を使い分けるようにした完成コードを用いて、複素変数の von Mangoldt 指数級数を描画する。1番目は半周期区間
(
Kronecker の極限公式の導出方法
(2019年3月6日 掲載記事)実解析的 Eisenstein 級数の頁に掲載した第1 Kronecker の極限公式 (以降 「第1」 を省略する) は、Glaisher - Kinkelin 定数が現れる等、形が大抵の文献にあるそれとは随分異なっている。そこで念のため、ここに導出過程を掲載し、後半では Mathematica による検証結果も掲載する。
【手計算による Kronecker の極限公式の導出】
実解析的 Eisenstein 級数の頁にある
当然ながら、当サイトの定義と異なる

【手順1:
となる。すなわち、
の形になることが分かる。

【手順2:
単に、極限をとれば次のように求められる。
(しかし、これは
【手順3:
実はここに、Glaisher - Kinkelin 定数が現れる原因がある。
となるはずである。すなわち、
となる。ここに、①は 「手順1」 の結果を援用、②では
を使用、③では、Riemann ゼータ関数の対称関数等式の両辺を対数微分して得られる式
並びに、Riemann ゼータ関数の Laurent 級数展開式とその導関数から得られる式
を使用している。
【手順4:
これも 「手順2」 と同様、単に極限をとれば求められるが、計算はやや複雑である。このとき、第2種変形 Bessel 関数が初等関数

が得られる。ここに、④~⑦では以下の事実を使用している。
まず④は、冒頭で述べた約数関数の性質、および
⑤は、NISTにある公式:27.7.5において
⑥は、Dedekind のエータ関数の無限乗積表示式から得られる。すなわち、
⑦は、⑥に対する計算をさらに進めて得られるところの
を使用する。
【手順5:Kronecker の極限公式を得る】
「手順2」~「手順4」 の結果から、
となる。よって、
が証明された。
なお、
【Mathematicaによる検証】
得られた公式の信頼性を補強 (および手計算を検算) する目的から、以降では Mathematica を用いた二つの検証を行う。
【検証1】
「手順1」 と 「手順3」 の検証、すなわち
となるか検証する。幸い、Mathematica では容易に Laurent 級数展開式を求められる。
よって、この結果は
を意味し、手順1と手順3の正当性が確認された。
【検証2】
Kronecker の極限公式自体の検証。次のように左辺 (極限をとる) と右辺とに分けて、両者の一致、並びに両者の差が (ほとんど) 0になることを確認する。
この検証では、実解析的 Eisenstein 級数のコードが必要になるので、併せてそれも掲載する。因みに、この Fourier 級数は
第2列目が
s=4 および 3 における Fibonacci ゼータ関数の特殊値
(2024年6月22日 掲載記事)自然数における Fibonacci ゼータ関数の特殊値の超越性については、Eisenstein 級数や Lambert 級数による表示式で論じられることが多い。一方、
そこで、
【Fibonacciゼータ関数から派生した関数】
Fibonacci ゼータ関数
の一般 Dirichlet 級数表示において、奇数番目の項のみを加算した 「奇数項 Fibonacci ゼータ関数」 の公式
は、例えば D. Lowry-Duda の論文 「The Fibonacci zeta function and modular forms」 に載っている。二つの関数から直ちに、偶数番目の項のみを加算した 「偶数項 Fibonacci ゼータ関数」
が得られる。さらに同様の方法で、「交代 Fibonacci ゼータ関数」
も得られる。(コードは Zeta.m に搭載済み。)
後に、
奇数項 Fibonacci ゼータ関数
偶数項 Fibonacci ゼータ関数
交代 Fibonacci ゼータ関数
1および2の累乗をインデックスとする Fibonacci 数から成る無限級数
は、Millin の級数と呼ばれる。そこで、これを一般 Dirichlet 級数にした

Millin - Fibonacci ゼータ関数は、虚軸を自然境界とする右半平面が存在領域となる。これは、
因みに
Millin - Fibonacci ゼータ関数
【註記:Millin について】
この級数は、1974年にアメリカのペンシルベニア州の高校生であった D. A. Millin が証明したのでその名が冠せられているが、これは誤植が定着した名であって、正しくは D. A. Miller である。詳細は、History of Science and Mathematics の記事 「Who was D. A. Millin, the eponym of the Millin Series ?」 に掲載されているが、併せて Miller 本人からと思われる投稿もあって、その中で誤植名 Millin を "気に入っているので誰も変えないで欲しい" と発言している。
現在、D. A. Miller は計算理論を専門とするアメリカの数学者となっている。
この級数は、1974年にアメリカのペンシルベニア州の高校生であった D. A. Millin が証明したのでその名が冠せられているが、これは誤植が定着した名であって、正しくは D. A. Miller である。詳細は、History of Science and Mathematics の記事 「Who was D. A. Millin, the eponym of the Millin Series ?」 に掲載されているが、併せて Miller 本人からと思われる投稿もあって、その中で誤植名 Millin を "気に入っているので誰も変えないで欲しい" と発言している。
現在、D. A. Miller は計算理論を専門とするアメリカの数学者となっている。
以降では、サイト管理人が作成した Mathematica コード 「Zeta.m」 の事前読込が必要になる。
(

始めに、
1番目の Lambert 級数は、Mathematica (Ver.8時点。以下同様) で明示的に求められない。
しかし、Lambert 級数を q-級数に書き換えれば、Mathematica で明示的に求められるようになる。
2番目の Lambert 級数は、直接または q-級数のどちらであっても、Mathematica で明示的に求められない。
これは、岩波数学公式Ⅲの49頁にある公式と、NISTの公式23.6.8を等号で結ぶと、容易に得られる。(これらの Lambert 級数は Eisenstein 級数の主要部分でもある。)
よって、
実際に
次に、
となる。この Lambert 級数は Mathematica で明示的に求められるが、q-ポリガンマ関数で出力されてしまう。
上記の暫定的な
の分枝を採用する。
二つの q-ポリガンマ関数をテータ零値で書き換える。q-ポリガンマ関数の虚数方向の周期性


に対して、
(楕円テータ関数の偶奇性に注意するが、結局この場合は
が得られる。楕円テータ関数の周期的性質に基づき
となる。よって、
実際に
よって、テータ零値のみで記述された
【s=3におけるFibonacciゼータ関数の特殊値】
始めに、
となる。この Lambert 級数は Mathematica で明示的に求められるが、q-ポリガンマ関数で出力されてしまう。
上記の暫定的な
さらに、q-ディガンマ関数および q-トリガンマ関数の部分は次のように還元できる。虚数方向に半分の擬周期性
に対して、
となることが分かる。よって、
実際に
次に、
となる。この Lambert 級数も Mathematica で明示的に求められるが、q-ポリガンマ関数で出力されてしまう。
上記の暫定的な
の分枝を採用する。
q-ポリガンマ関数の相補公式
に対して、
が得られる。さらに
となる。これを暫定的な
実際に
よって、
【工事中】
工事中:ここに新規項目の追加を計画しています。Under construction:I'm planning to add a new contents here.

























































































