特殊関数 グラフィックスライブラリー
Graphics Library of Special functions
http://math-functions-1.watson.jp
特殊関数 Menu
超幾何関数
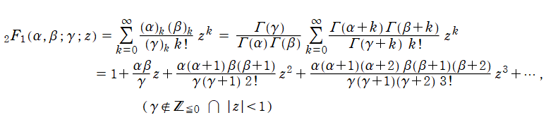
超幾何関数
日:超幾何関数英:Hypergeometric function,仏:Fonction hypergéométrique,独:Hypergeometrische funktion
変数
で定義され、その収束範囲を超えて解析接続された関数
となる。
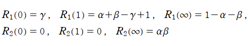
第1種超幾何関数における制限
は、全ての
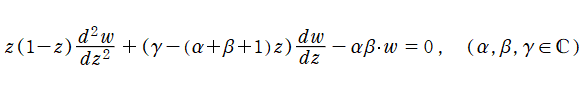
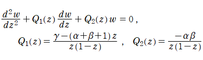
2階の線形常微分方程式
を 「超幾何微分方程式」 といい、
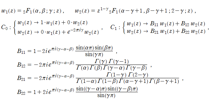
超幾何微分方程式の一般解は
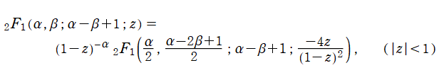
となり、これは 「接続公式」 と呼ばれる※2。接続公式を用いると、楕円モジュラー・ラムダ関数を代入した超幾何関数
の作用に同一視 (時計周りの周回は上記の逆行列に同一視) できて群を成す。これは 「モノドロミー群」 と呼ばれている※3。
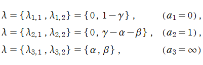
前述の二つの基本解が超幾何級数から与えられた場合は、収束半径が
となる。表示可能な基本解の種類は上記のみではなく、全部で24種類 (特異点
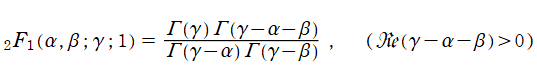
この他、第1種超幾何関数に対しては
が知られている (これは 「Gauss の超幾何定理」 と呼ばれ、
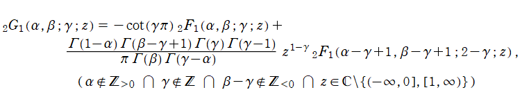
当サイトでは、超幾何微分方程式を満たすが
を、併せて定義する。
を満たす※5。ここに
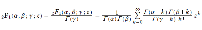
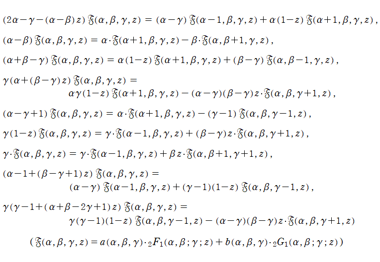
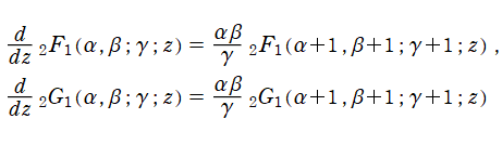
超幾何関数の
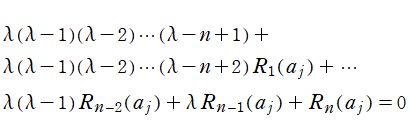
となる。これを先の線形漸化式に適用すれば、種々の微分漸化式が得られる。
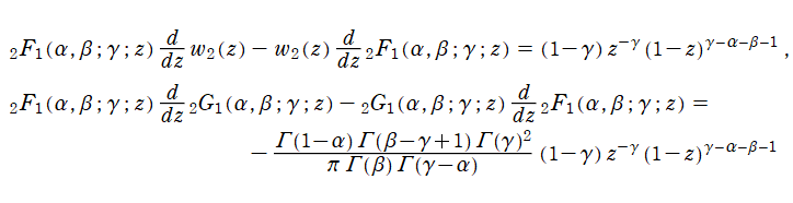
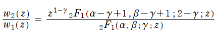
さらに、超幾何関数の導関数については、第1種と第2種の間でロンスキアン型の関係式
を満たす。
超幾何関数は多くの積分表示式を持っているが、そのうち、1748年に L. Euler によって得られた
は、最も基本的な式として知られ、超幾何微分方程式と同様にここから種々の公式が導かれる。また、Mellin - Barnes 型の積分表示式
は留数定理に基づいており、同様の考え方が Meijer のG関数に拡張される。
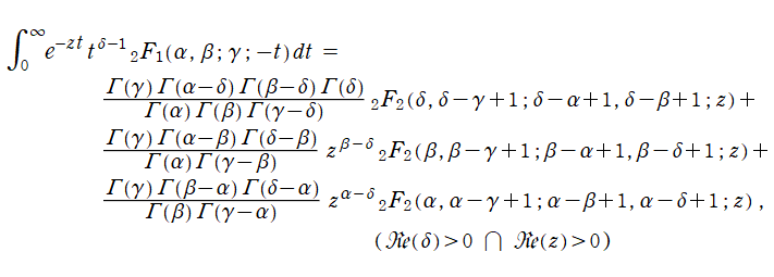
超幾何関数の Laplace 変換のうち、
は、結果がより高い (一般化超幾何関数の) クラスに上がる例である。
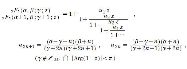
さらに特筆すべき超幾何関数の性質は、連分数展開式
を持つことである。これは、C. F. Gauss が1812年に求めた。
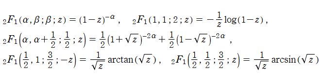
超幾何関数が初等関数に還元される事例として、
等が知られている。また、
超幾何関数によって表わすことができる特殊関数は、不完全ベータ関数、完全楕円積分、Legendre 陪関数、Chebyshev 関数、Gegenbauer 関数、および Jacobi 関数などがあり、既に各頁でその表示式を取りあげた。また (円内部の) 楕円モジュラー関数や保型関数の逆関数は、前述の2基本解の商
超幾何関数 (級数) は、二項係数やベータ関数とともに種々の面積を無限級数で求める試みが起源となっており、この種の級数は17世紀中葉から J. Wallis 等が研究している※1。18世紀中葉になると、Euler が前述のとおり超幾何関数の積分表示式を求め、1769年には超幾何微分方程式も導出した。同時代には、J. F. Pfaff および A-T. Vandermonde 等が種々の変換式や特殊値を求め、超幾何関数の諸性質が明らかにされ始めた。19世紀前半に入ると、Gauss が初めて超幾何関数を複素変数で考察し、超幾何級数を含む冪級数の収束性について理論を展開した。また、線形漸化式とそれから導かれる連分数展開式、後年に定義される級数解の解析接続を示唆する等、多くの寄与を成した。それゆえ、その名を冠して 「Gauss の超幾何関数」 と呼ぶこともある。1836年に Kummer は、それまで部分的に判明していた解の変換式を全て解明し、さらに変数に二次有理関数が代入された
等の複雑な変換式も多数求めた。変数に三次式が現れる例は、1881年に É. J-B. Goursat が初めて求めた。1857年に G. F. Riemann は、始めから Riemann 球面上における3個の確定特異点および特性指数の組をパラメーターとして持ち、3枚の分枝間で定係数の線形結合式を満たす Riemann の P関数を導入し、これが本質的に超幾何関数と同一であることを示して、その多価性の幾何学的解釈を可能にした。1873年に H. A. Schwarz は、超幾何微分方程式の解が代数関数になる場合を全て求める問題に取り組み、その過程で言わば副産物的に、
19世紀中葉以降、超幾何関数の様々な類似も考案されており、1846年の H. E. Heine による q-超幾何関数、1870年の L. A. Pochhammer による一般化超幾何関数と、1936年の C. S. Meijer および1937年の T. M. MacRobert による更なる一般化、1880年の P. É. Appell による二変数化、1893年の G. Lauricella による三変数化、1937年の K. de Fériet による一般化超幾何関数の二変数化などが、初期の例として著名である。現在も深化の一途にあるこれらの研究は、超幾何関数が明快な性質を多数持つ理由を解明する目的もあり、20世紀以降の超幾何関数論では、量子群、無限次元 Lie 群の表現論、ホモロジー代数など、新しい理論からのアプローチが盛んになる。20世紀後半には行列変数の超幾何関数も研究され始め、これはランダム行列など確率論でよく現れる。
超幾何関数の直接的な応用事例としては、天体核物理学、量子色力学、重力物理学、統計力学、統計学などがある。また、数式処理システムにおける積分計算、級数総和、式の変換・簡約規則は、超幾何関数の取扱可能範囲に大きく依存する。
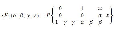
第1種超幾何関数の記号は、大抵が
【註記】
※1:超幾何級数なる名称は、幾何級数 (等比級数)
を拡張した級数との意味があり、1655年に Wallis がこの名称を初めて用いた。
※2:この接続公式は、「Higher Transcendental Functions (Vol.1)」 の93~94頁に掲載がある。ただし、係数
の負符号因子が抜け落ちている。
※3:確定特異点が4個以上 (Heun 関数など) になると、接続公式やモノドロミー群を具体的に記述することは一般に難しく、現在でも研究が進められている。
※4:24種類のうち、いくつかは時代を先行して Pfaff および Euler 等が求めている。
※5:因みに第2の基本解
は、これとは異なる形の線形漸化式を満たす。
※6:それゆえ、超幾何関数は等角写像論で重要な具体例 (円弧で囲まれた ― 双曲的 Euclid 幾何の ― 三角形内部への写像) を与える。
※7:当サイトと同じ記号
を希に見かけるが、定義は異なる。
※1:超幾何級数なる名称は、幾何級数 (等比級数)
※2:この接続公式は、「Higher Transcendental Functions (Vol.1)」 の93~94頁に掲載がある。ただし、係数
※3:確定特異点が4個以上 (Heun 関数など) になると、接続公式やモノドロミー群を具体的に記述することは一般に難しく、現在でも研究が進められている。
※4:24種類のうち、いくつかは時代を先行して Pfaff および Euler 等が求めている。
※5:因みに第2の基本解
※6:それゆえ、超幾何関数は等角写像論で重要な具体例 (円弧で囲まれた ― 双曲的 Euclid 幾何の ― 三角形内部への写像) を与える。
※7:当サイトと同じ記号
①
⑤
アニメーション(25.9MB)
①
⑤
①
⑤
①
①
①
⑤
①
⑤
アニメーション(27.1MB)
①
①
は、Schwarz の保型関数
Riemann のP関数
日:RiemannのP関数,リーマンのP関数英:Riemann P-function,仏:Fonction P de Riemann,独:Riemannsche P-funktion
【始めに:線形常微分方程式の特異点と特性指数】
を、線形常微分方程式という。
が
一方、
もし、線形常微分方程式が確定特異点のみを特異点として持つ場合、「Fuchs 型の微分方程式」 と呼ばれる。超幾何微分方程式および Riemann の微分方程式は、Fuchs 型の微分方程式の例である。
(
なる表示を持つ。ここに、
の根
を満たす。
【例:超幾何微分方程式の場合】
2階微分演算子の係数が1となるよう、超幾何微分方程式を
の形にする。
を取り※1、極を持たないので、
したがって、超幾何微分方程式の決定方程式は
となり、それぞれの決定方程式の2根からなる組として、特性指数を記すと
となる。
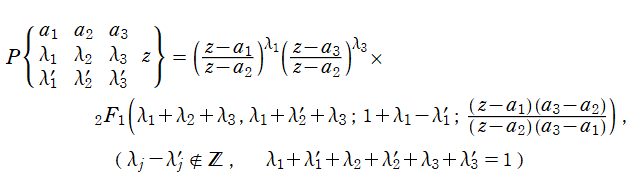
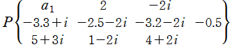
【RiemannのP関数】
G. F. Riemann は、
を1857年に導入した。ここに、パラメーター
さらに、Riemann はこの関数に次の3条件を課す:① 関数
ここから Riemann は、接続係数の (モノドロミー群を示唆した) 計算と、当時すでに判明していた複素関数論を駆使して、関数
となり、逆に
が、後述する線形常微分方程式の特別な基本解となる※4。
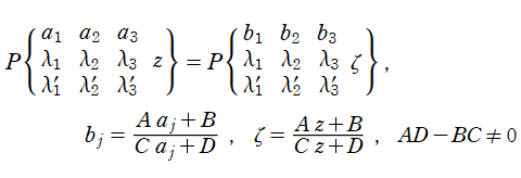
Riemann の P関数は、パラメーターの列を入れ替えても、
なる関係を満たす。この他にも、
等の関係式を満たす。
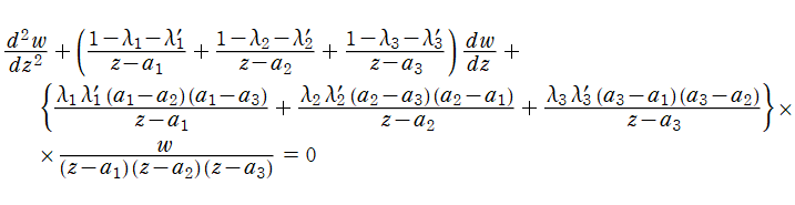
Riemann の P関数は、2階の線形常微分方程式
の基本解となる。この微分方程式は1885年に J. E. Papperitz が初めて求めたのであって、Riemann が求めた訳ではないが 「Riemann の微分方程式」 と呼ばれる事が多い (Riemann - Papperitz の微分方程式と呼ぶ事もある)。また、確定特異点および特性指数の組を行列のように表記する前述の関数記号は、「Papperitz の記号」 と呼ばれる。Riemann の P関数および Papperitz の記号は、専ら超幾何関数論の中で現れ、物理学などの応用面で現れることはほとんど無い。
【註記】
※1:
は、線形常微分方程式に
なる変換を (微分演算子にも) 施すことで得られる係数であるが、これを一括の閉形式で表記するのは難しい。
階の場合を具体的に表示するに留める。
※2:2階の線形常微分方程式の場合、不確定特異点上で](siki_spec250/hypgeo14500.png)
が
位の極を持つならば、
の値を付し、より詳しく 「
級の不確定特異点」 と呼ぶことがある。
※3:もし、](siki_spec250/hypgeo14500.png)
に含まれているパラメーターのうち、特性指数で現れないものがあれば、それは 「アクセサリーパラメーター」 と呼ばれる。(代数的な) Lamé の微分方程式、および Heun の微分方程式は、1個のアクセサリーパラメーターを持つ Fuchs 型の微分方程式の例である。なお、このときの解も Papperitz の記号を用いて表記することがある。例えば、
をアクセサリーパラメーターとする Heun 関数は、
と表記される。
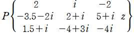
※4:以下に掲載しているグラフは、この超幾何関数で表わされた解を描画している。(前述のとおり、Riemann の P関数は多価関数の分枝の集合であるから、グラフはその内の一つを描画しているに過ぎない。)
また、分枝切断線は3個の確定特異点
をこの順に通る一つの円弧となるものを採用する。円弧が直線になる場合は描画しない。
※1:
※2:2階の線形常微分方程式の場合、不確定特異点上で
※3:もし、
と表記される。
※4:以下に掲載しているグラフは、この超幾何関数で表わされた解を描画している。(前述のとおり、Riemann の P関数は多価関数の分枝の集合であるから、グラフはその内の一つを描画しているに過ぎない。)
また、分枝切断線は3個の確定特異点
のグラフ。ここに、
のグラフ。
のグラフ。
のグラフ。
のグラフ。
のグラフ。
のグラフ。
のグラフ。

































](siki_spec250/hypgeo19000.png)
